선형성*이라는 기본 가정이 충족된 상태에서 독립변수과 종속변수의 관계를 설명하거나 예측하는 통계방법
회귀분석*에서 독립변수에 따라 종속변수의 값이 일정한 패턴으로 변해사는데, 이러한 변수간의 관계를 나타내는 회귀선이 직선에 가깝게 나타나는 경우
*선형성 : 시간의 흐름에 따라 데이터가 선으로 연결됨
*회귀 : 다시 돌아간다 / 영국의 우생학자 골턴(galton)이 처음 회귀분석을 사용, 부모자식간 키의 유전적 관계
단순 선형 회귀 분석 : 독립변수가 하나인 경우
H(x) = Wx + b
x : 독립변수
y : 종속변수
W : 직선의 기울기 (가중치 : weight)
b : y절편 (bias)
경사 하강법 : 기울기를 잘 이용해 함수의 최소값을 찾는것
> 손실함수(loss function) = 비용함수(cost function)
평균 제곱 오차 = (추정값 - 참값)^2 / 데이터 개수
추정값과 참값의 오차를 제곱하여 평균을 구함
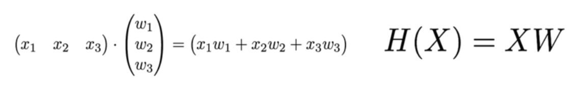
다중 선형 회귀 분석 : 독립변수가 여러개인 경우
H(x1, x2, x3) = w1x1 + w2x2 + w3x3 + b
이론적으로는 Wx로 계산이 되는데 행렬로 계산하는 경우 XW로 계산하게 된다.

'ML&DL > study' 카테고리의 다른 글
| 머신러닝 알고리즘 7-1. 신경망(딥러닝) (0) | 2021.06.16 |
|---|---|
| 머신러닝 알고리즘 6. 퍼셉트론 (0) | 2021.06.16 |
| 머신러닝 알고리즘 4. 나이브 베이즈 (0) | 2021.06.15 |
| 머신러닝 알고리즘 3. 의사결정 트리 (0) | 2021.06.14 |
| 머신러닝 알고리즘 2. 서포트 벡터머신(SVM) (0) | 2021.06.11 |
